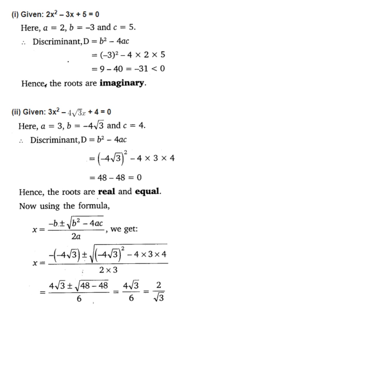
Multi-Solutions.in

Your One-Stop Solutions for CBSE and Haryana Board Students